Goal : Minimize cost(W,b)
데이터 예측 단계
Regression Data -> Presentation -> Hypothesis (Linear ? Non-linear ?)
1. Hypothesis
(1) Linear ## 우리 모델에 가장 적합한 식(오차가 적음)을 찾자!
: H(x) = Wx + b
- cost function (오차) = Loss function = Objective function
: Cost = H(x) - y (y : 창 값)

즉, 에러의 평균을 의미한다.
유도 방법
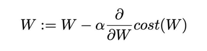
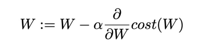
- Gradient Descent Algorithm (경사 하강 알고리즘)
: 기울기가 0이 되는 지점을 찾는다. -> 미분


--> 갱신값 = 기존값 일때까지 반복 (즉, 미분값이 0인 경우)
---- Convex function (Global minimum) ----
: 최소값 1개

convex vs Non-convex
: 어떤 포인트를 연결했을 때, 영역 바깥으로 나가는지 확인


'혤로그 이전의 기록 > 프로젝트 일지' 카테고리의 다른 글
| [ Machine Learning ]K-Nearest Neighbors(KNN) : 최근접이웃 강의 내용 정리 (0) | 2021.01.30 |
|---|---|
| [ Machine Learning ] 데이터 전처리 강의 내용 정리 (0) | 2021.01.18 |
| [ StereoPi with PI Camera - VR live Streaming] 2020.11.17 (0) | 2020.11.17 |
| [라즈베리파이] 카메라 모듈 (Pi camera) 사용하기 (1) | 2020.11.17 |
| [라즈베리파이] 윈도우로 GUI 환경 원격 접속하기 (0) | 2020.11.06 |